近日初中QQ群更新的部分内容如下几何画板课件2580例+教程2020年中考数学真题分类汇编版本1(58讲Word)2020年中考数学真题分类汇编版本2(21讲Word)2020年中考数学真题分类汇编版本3(43讲Word)
2020年中考数学真题分类汇编版本4(30讲Word)2020年全国中考数学真题试卷(258份Word)一文搞定特殊平行四边形17个考点(320页Word)一文搞定反比例函数问题(162页Word)一文搞定相似三角形基本模型
一文搞定相似三角形模型 一文搞定初中数学网格问题一文搞定初中数学二次根式涉及的考点与题型初中数学必会12个几何模型(222页Word)浙江省2018-2020中考数学分类汇编(17讲Word)广东省2021年中考数学一轮精讲篇(31讲Word)
广东省2016-2020年中考分类汇编(11讲Word)江苏省2016-2020中考数学分类汇编(27讲Word)上海2021年中考数学试题分类汇编(18讲Word)山东省2018-2020中考数学分类汇编(20讲Word)
福建省2020年中考热点问题梳理(8讲Word)安徽省2020年中考重难点专题强化(20讲Word)河南省2020年中考一模分类汇编(13讲Word)河南省2020年中考二轮冲刺讲义(12讲Word)圆的基本性质章节涉及的18个必考点全梳理
初中代数式章节必考的20个考点全梳理三角形初步涉及的20个必考点全梳理全等三角形章节涉及的16个必考点全梳理相似三角形章节涉及的18个必考点全梳理网红“对称问题”涉及的16个必考点全梳理网红“旋转”问题必考题型梳理
特殊平行四边形涉及的16个必考点全梳理平面直角坐标系章节12个必考点全梳理初中勾股定理章节12个必考点附例题变式全梳理实数章节涉及的20个必考点全梳理有理数章节涉及的16个必考点全梳理反比例函数涉及的12个必考点全梳理
整式加减章节涉及的20个必考点全梳理数的开方章节涉及的12个必考点全梳理一元二次方程章节涉及的14个必考点全梳理二次函数章节涉及的14个必考点全梳理一次函数章节涉及的18个必考点全梳理2020中考数学微型培优专题课(6份PPT)
2020届中考数学总复习拉分题梳理(8份Word)备战2021年中考数学专题练(13讲Word)2020年中考数学冲刺难点突破 图形折叠问题极致经典:初中最值问题4大类28小类全梳理重难点突破:初中动点问题7大类20小类全梳理
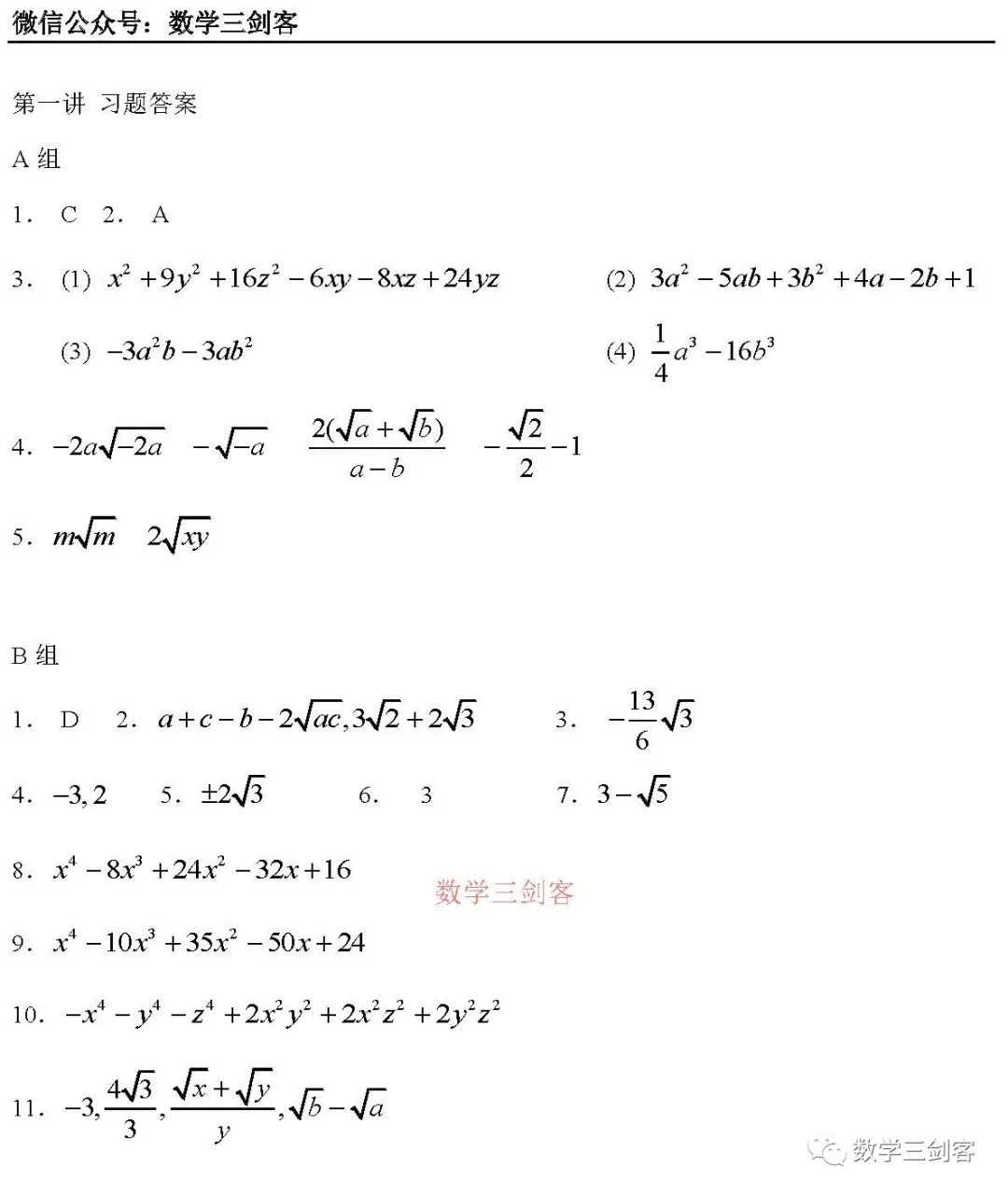
中考中相似三角形的常见模型及典型例题 三角形中角度计算相关的模型初中数学图形运动解题技巧Word获取见文末,点击突破查看大图









选择图文
如需Word电子版,公众号数学第六感对话框界面回复:315,按要求操作获取
文章来源:数学三剑客,如存在文章/图片/音视频使用不当的情况,或来源标注有异议等,请联系编辑微信:ABC-shuxue第一时间处理。最后,邀您进下方公号学习
戳“阅读原文”,更有料!
亲爱的读者们,感谢您花时间阅读本文。如果您对本文有任何疑问或建议,请随时联系我。我非常乐意与您交流。







发表评论:
◎欢迎参与讨论,请在这里发表您的看法、交流您的观点。